红外探测技术及器件在国防、工业、边海防、遥感、疫情防控等领域有着重要的应用,红外探测器的发展方向是小尺寸、轻重量、低功耗(SWaP规范)。锑化物Ⅱ类超晶格(T2SL)具有二型能带结构,俄歇复合速率低,波长覆盖范围大(3—30微米),大面积均匀性好,成本低,是满足SwaP规范的最佳选择。
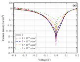
由能源与环境科学学院郝瑞亭教授、物理与电子信息学院郭杰副教授组成的创新团队自2009年就开展了锑化物红外探测技术及器件的研究,经过十多年的攻关,取得了系列研究成果。在长波器件方面,研发团队与中科院半导体所、兵器集团211所合作,研制出了高性能的 InAs/GaSb Ⅱ类超晶格长波红外探测器。为了进行航天应用,研究团队对器件进行了高能电子辐照实验,模拟器件在太空环境受高能电子的照射,并对辐照损伤机理和特性进行了研究,本工作为器件的空间应用奠定了基础。 (Journal of Applied Physics;doi:10.1063/5.0055058)


图1 InAs/GaSb Ⅱ类超晶格长波器件高能电子辐照对性能的影响
双色红外探测器具有探测波段宽、获取信息丰富、抗干扰等优点,是红外探测领域的研究热点和发展趋势。基于此,课题组与中科院半导体所合作研制了中短双色器件。利用GaSb和InAs/GaSb T2SL分别作为短波、中波通道,用于吸收目标在不同波段的红外辐射。相比单一波段探测器,双色器件大幅度提高了器件及系统对真伪目标的分辨能力。(Opt. Mater. Express;doi:10.1364/OME.416272)
图2 中短双色器件的结构及性能
中波和长波InAs/GaSb T2SL红外探测器的少子寿命仍较短,导致其性能与理论极限差距较大。为了解决此问题,我们较早开展了不含Ga的InAs/InAsSb超晶格研究,旨在从根本上消除与Ga有关的本征缺陷,提高少子寿命,降低器件的暗电流。我们利用分子束外延技术(MBE)制备了InAs/InAsSb 中波红外探测材料,样品几乎零晶格失配,材料质量达到国际一流水平。该工作为航天遥感、天文观测等领域急需的低暗电流红外探测器的研制奠定基础。
图3 InAs/InAsSb 中波超晶格的X射线衍射谱及拟合结果
近年来,锑化物超晶格已经成为国际上研发新一代高性能红外探测芯片的重要材料体系。正是由于上述技术的不断突破日益凸显出其在高技术领域的重大应用价值,使得锑化物半导体技术在最近的10 年里迅速成长为各大国出口管控的核心技术。包括云南师大在内的相关单位自本世纪初就开展了包括GaSb衬底、材料外延、芯片工艺等方面的研究,并取得了一系列重要成果,为从源头上解决又一“卡脖子”技术提供了有力支撑。
欢迎有志于从事新型光电探测器件、海洋探测技术及装备研究的硕士生和博士生加入本团队。
(能源与环境科学学院供稿)